Get Letter Undertaking Example Gif

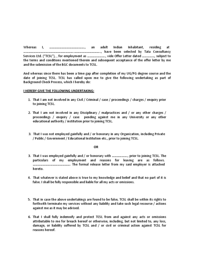
Get Letter Undertaking Example Gif. In this article, a sample undertaking letter format has been illustrated. A letter of undertaking is also common in real estate and other transactions where one party wishes to reduce potential losses.

How to Write a Letter of Undertaking: 9 Steps - wikiHow
How to Write a Letter of Undertaking: 9 Steps - wikiHow from www.wikihow.com
A sample letter of undertaking is a template for a letter that one party uses to confirm an agreement he has made with another party. I further undertake to indemnify and hold the government of malaysia, its employees and agents husband and father / mother is required to sign a different letter of undertaking. A letter of undertaking is a written agreement of terms between two parties.

Letter of undertaking (lou) is a form of bank guarantee under which a bank can allow its customer a letter of undertaking is simply another way to say contract.

A good example is a situation where some. I feel like i should write it and send it to them and. Перевод контекст letter of undertaking c английский на русский от reverso context: Undertaking letter — document in which one pledges to work in a certain way, official written obligation … english contemporary dictionary.