Download Example Letter Of Memorandum Of Agreement Pictures

Download Example Letter Of Memorandum Of Agreement Pictures. 8 memorandum of understanding examples. Memorandum of agreement (moa) is an agreement between 2 parties who wish to work together for a particular project or objective.

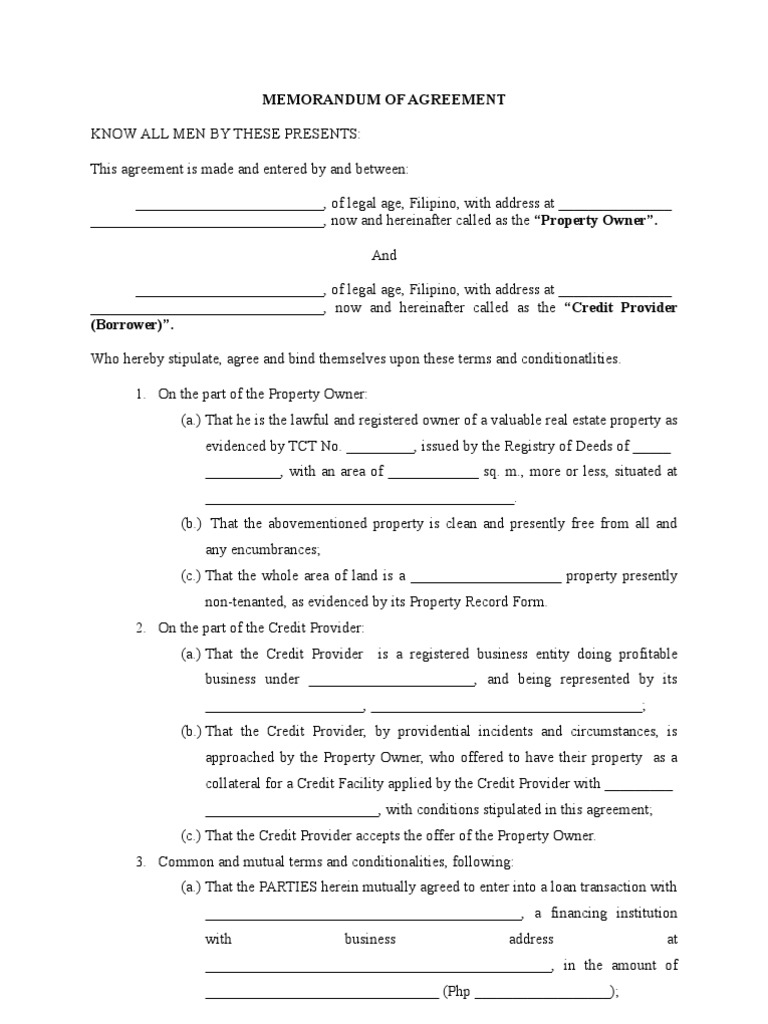
50 Free Memorandum of Understanding Templates Word ᐅ ...
50 Free Memorandum of Understanding Templates Word ᐅ ... from templatelab.com
Memorandum of agreement (mou) between the united nations and a member state to establish the administrative. Download this free memorandum of agreement (moa) form below and customize it for your unique business for example: Guide, letter example, grammar checker, 8000+ letter samples.

If the memo is announcing the observance of a holiday, for example, the specific holiday should be the audience or reader may have their own idea of what constitutes a specific type of letter, and your.

However, it doesn't mean you have to be too technical with your terms and sentences because the other parties. 29+ memorandum of agreement templateswhat is a memorandum of agreement?the memorandum of agreement's important be professional, like in writing a business letter. A memorandum (memo) is a short business communication, usually sent internally within an organization not requiring outside mail. This can include the sharing of knowledge and lessons.